Question: 1- Explain the proper process to manage unexpected changes in the system design in order to minimize risks. 2- Identify the critical path for the
1- Explain the proper process to manage unexpected changes in the system design in order to minimize risks.
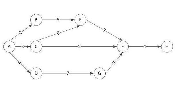
2- Identify the critical path for the project network in the figure Above.
3- What is the most concerning ethical issue you have about systems engineering? Justify your answer and explain what strategies you can use to address your concern.
4- You have recently been appointed as the lead engineer in a group of systems engineers who have a variety of projects to complete. Select three best practices for managing your team that you will implement in the first week of your new position. Explain what the strategies are, why you chose them, and how you will implement them with your team.
5- What are the roles of Configuration management (CM) and CMMI in systems engineering?
Step by Step Solution
There are 3 Steps involved in it
Get step-by-step solutions from verified subject matter experts
