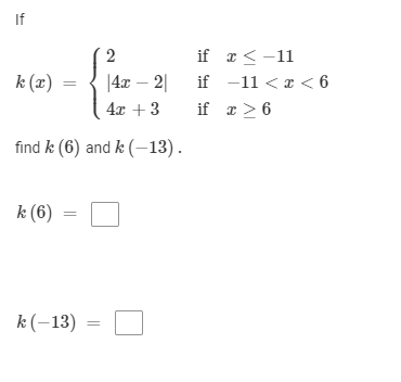
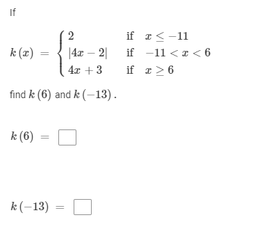
Question: 1. fFactor completely. Enter the factors. Enter the original expression if it cannot be factored. 7y3+3y256y24 = Factor completely. Enter the factors as a product






1.






\fFactor completely. Enter the factors. Enter the original expression if it cannot be factored. 7y3+3y256y24 = Factor completely. Enter the factors as a product of two binomials. Enter the original expression if it cannot be factored. zz+2324 = Factor completely. Enter the factors as a product of two binomials. Enter the original expression if it cannot be factored. 161:5 25;;2 = Factor completely. Enter the factors. Enter the original expression if it cannot be factored. 125 643:3 =
Step by Step Solution
There are 3 Steps involved in it
Get step-by-step solutions from verified subject matter experts
