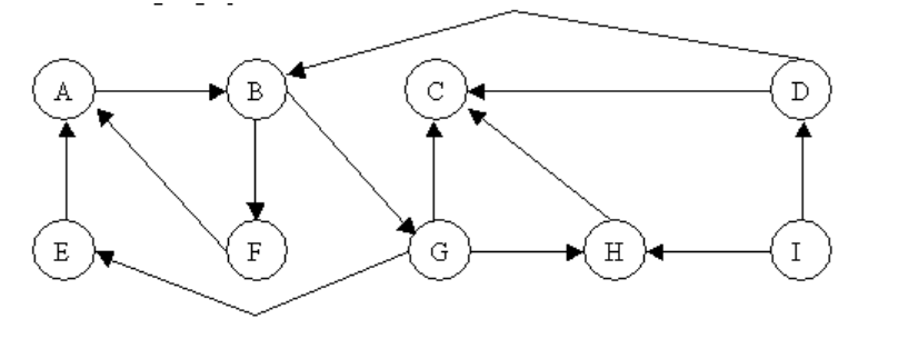
Question: 1. Find the shortest path from the start node to the destination node in the following graph, using Dijkstras algorithm. 2. Is the following network
1. Find the shortest path from the start node to the destination node in the following graph, using Dijkstras algorithm.

2. Is the following network strongly connected or weakly connected? why?

Step by Step Solution
There are 3 Steps involved in it
Get step-by-step solutions from verified subject matter experts
