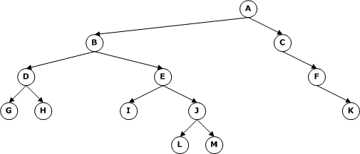
Question: 1) Given the following binary tree, what is the order in which the items will be traversed if an in-order traversal is performed? A) A,
1) Given the following binary tree, what is the order in which the items will be traversed if an in-order traversal is performed?

A) A, B, C, D, E, F, G, H, I, J, K, L, M
B) G, H, D, I, L, M, J, E, B, K, F, C, A
C) A, B, D, G, H, E, I, J, L, M, C, F, K
D) G, D, H, B, I, E, L, J, M, A, C, F, K
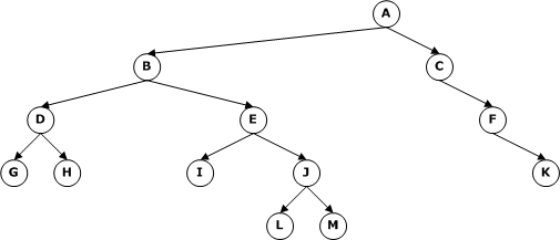
2) Given the following binary tree, what is the order in which the items will be traversed if a post-order traversal is performed?

1) A, B, C, D, E, F, G, H, I, J, K, L, M
2) G, H, D, I, L, M, J, E, B, K, F, C, A
3) A, B, D, G, H, E, I, J, L, M, C, F, K
4) G, D, H, B, I, E, L, J, M, A, C, F, K
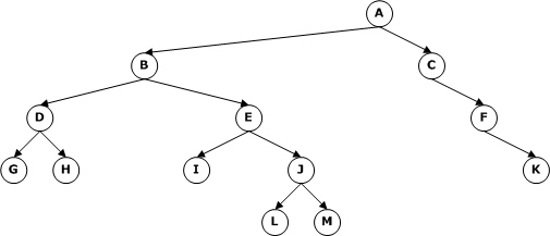
3) Given the following binary tree, what is the order in which the items will be traversed if a level-order traversal is performed?
A) A, B, C, D, E, F, G, H, I, J, K, L, M
B) G, H, D, I, L, M, J, E, B, K, F, C, A
C) A, B, D, G, H, E, I, J, L, M, C, F, K
D) G, D, H, B, I, E, L, J, M, A, C, F, K
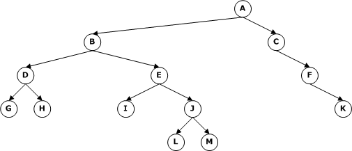
4) Given the following binary tree, what is the order in which the items will be traversed if an in-order traversal is performed?

A) A, B, C, D, E, F, G, H, I, J, K, L, M
B) G, H, D, I, L, M, J, E, B, K, F, C, A
C) A, B, D, G, H, E, I, J, L, M, C, F, K
D) G, D, H, B, I, E, L, J, M, A, C, F, K
Step by Step Solution
There are 3 Steps involved in it
Get step-by-step solutions from verified subject matter experts
