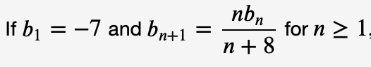
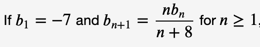
Question: 1) Given what's below, what would a1, a2, a3, and a4 be? fnb If b1 = -7 and b n n+1 for n > 1



1) Given what's below, what would a1, a2, a3, and a4 be?



\fnb If b1 = -7 and b n n+1 for n > 1 n + 8Cn+1 If c1 1, c = -1, and Ch+2 = for n 2 Cn
Step by Step Solution
There are 3 Steps involved in it
Get step-by-step solutions from verified subject matter experts
