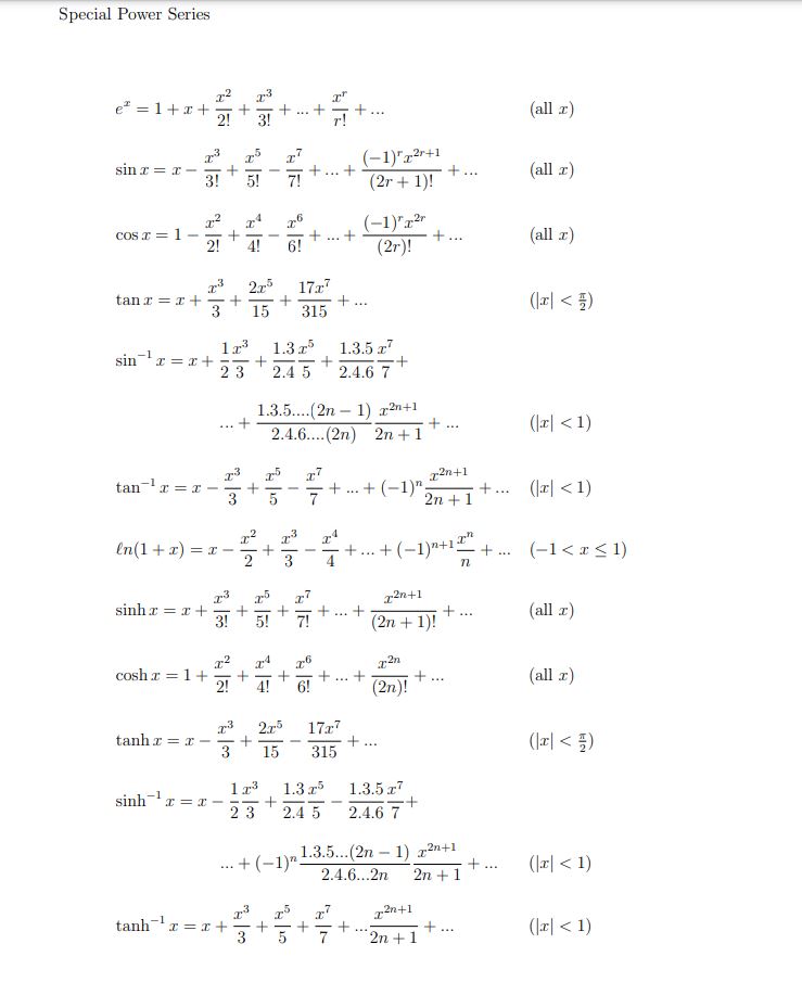
Question: 1. How can we find the answer to these problems if the series on the right side of the equations are infinite? Please elaborate. 2.

1. How can we find the answer to these problems if the series on the right side of the equations are infinite? Please elaborate.
2. Will our answers be finite or infinite?

Step by Step Solution
There are 3 Steps involved in it
Get step-by-step solutions from verified subject matter experts
