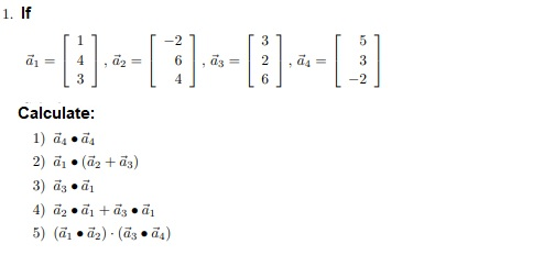
Question: 1. If 3 5 2 6 a 3 3 4 6 Calculate: 1) 2.4 2) a. (Q2 +23) 3) aga 4) aga1 + a 5)

1. If 3 5 2 6 a 3 3 4 6 Calculate: 1) 2.4 2) a. (Q2 +23) 3) aga 4) aga1 + a 5) (@2). (a34)
Step by Step Solution
There are 3 Steps involved in it
1 Expert Approved Answer
Step: 1 Unlock
Question Has Been Solved by an Expert!
Get step-by-step solutions from verified subject matter experts
Step: 2 Unlock
Step: 3 Unlock
