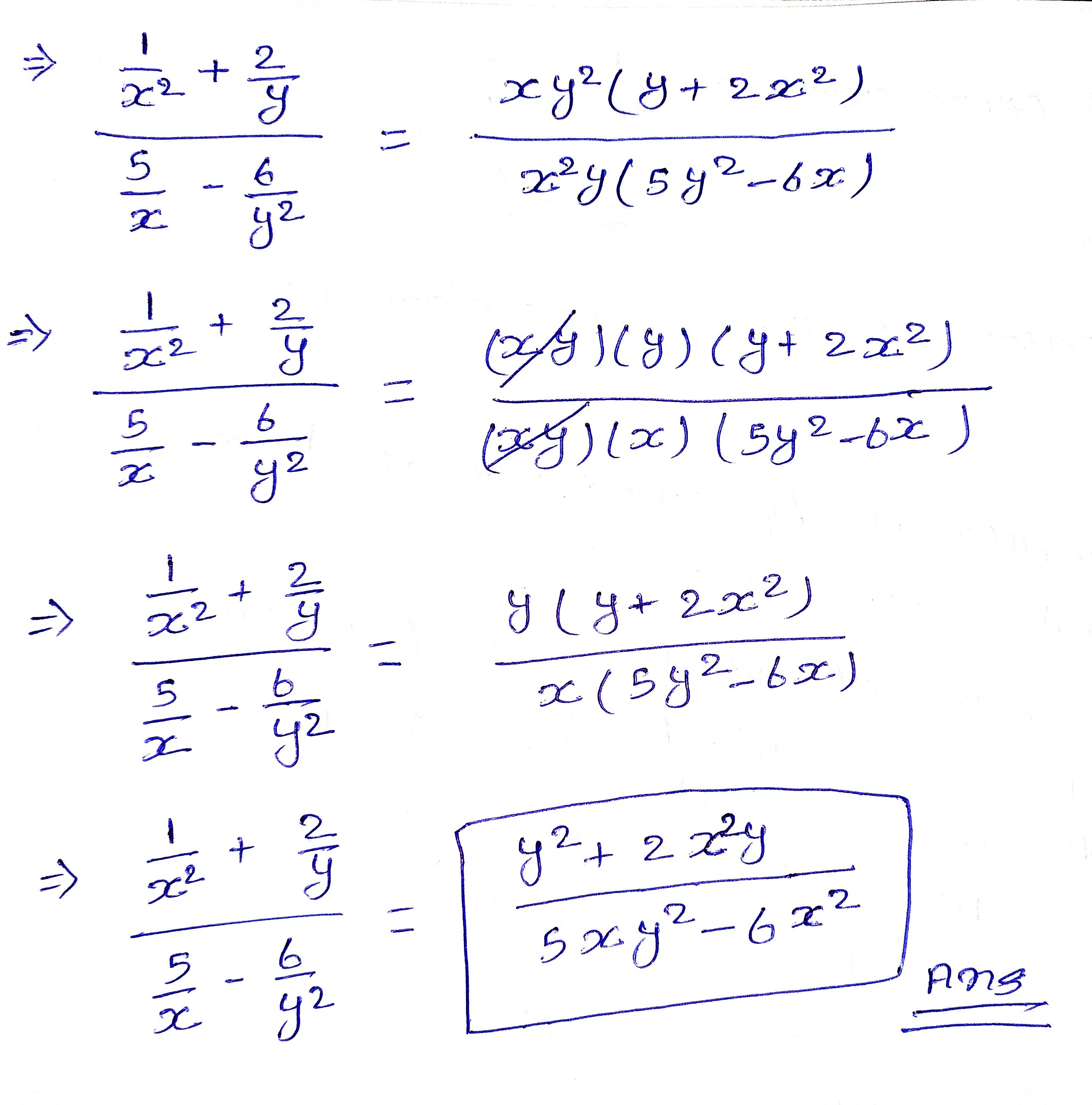
Question: 1 KN 3. Simplify the expression Show your work. 5 6 2* The Given expression is 7 2 2 y 6, The numerator of this



Step by Step Solution
There are 3 Steps involved in it
1 Expert Approved Answer
Step: 1 Unlock
Question Has Been Solved by an Expert!
Get step-by-step solutions from verified subject matter experts
Step: 2 Unlock
Step: 3 Unlock
