Question: 1. Let f(x) = 2e 6x. (a) Find all points on the graph of at which the tangent line is horizontal. (b) Find all

1. Let f(x) = 2e 6x. (a) Find all points on the

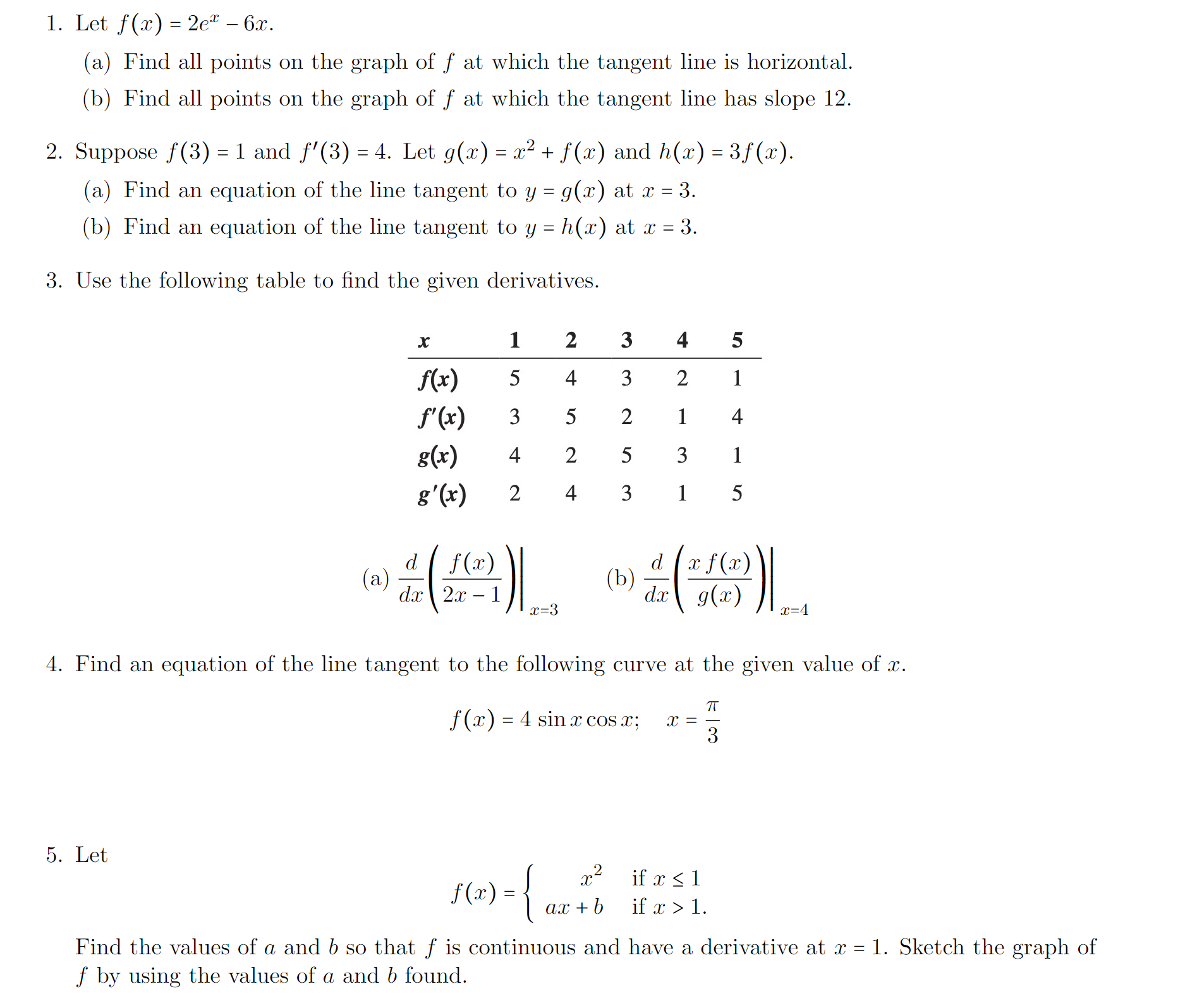
1. Let f(x) = 2e 6x. (a) Find all points on the graph of at which the tangent line is horizontal. (b) Find all points on the graph of at which the tangent line has slope 12. 2. Suppose f(3) = 1 and f'(3) = 4. Let g(x) = x + f(x) and h(x) = 3f(x). (a) Find an equation of the line tangent to y = g(x) at x = (b) Find an equation of the line tangent to y = h(x) at x = 3. 3. Use the following table to find the given derivatives. = 3. x 1 2 3 4 5 10 f(x) 5 4 3 2 1 f'(x) 3 5 2 1 4 g(x) 4 2 5 3 1 g'(x) 2 4 3 1 5 d f(x) d x f(x) (a) (b) dx 2x-1 dx g(x) x=3 x=4 4. Find an equation of the line tangent to the following curve at the given value of x. f(x) = 4 sin x cos x; x = T 3 5. Let x2 if x 1 1(x) = { az + $ ax b if x > 1. Find the values of a and b so that f is continuous and have a derivative at x = 1. Sketch the graph of f by using the values of a and b found.

Step by Step Solution

There are 3 Steps involved in it

1 Expert Approved Answer
Step: 1 Unlock blur-text-image
Question Has Been Solved by an Expert!

Get step-by-step solutions from verified subject matter experts

Step: 2 Unlock
Step: 3 Unlock

Students Have Also Explored These Related Mathematics Questions!