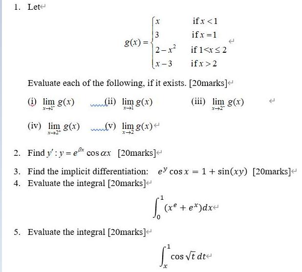
Question: 1. Let if x <1 ifx =1 3 g(x) = . 2-x2 if 1 2 Evaluate each of the following, if it exists. [20marks]
1. Let if x
Step by Step Solution
★★★★★
3.46 Rating (149 Votes )
There are 3 Steps involved in it
1 Expert Approved Answer
Step: 1 Unlock
Question Has Been Solved by an Expert!
Get step-by-step solutions from verified subject matter experts
Step: 2 Unlock
Step: 3 Unlock
