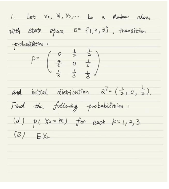
Question: 1. Let Xo, X, X , . be a Markov chain with state space 8= 1, 2, 3), transition probabilities : P= w/ - O

1. Let Xo, X, X , . be a Markov chain with state space 8= 1, 2, 3), transition probabilities : P= w/ - O Ut and initial distribution 2/= ( 7 , 0 , 2 ). Find the following probabilities : ( d ) p( x = = k ) for each K= 1, 2, 3 (e ) EXz
Step by Step Solution
There are 3 Steps involved in it
Get step-by-step solutions from verified subject matter experts
