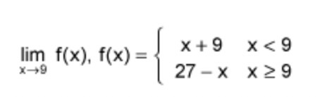
Question: 1. lim f(x), f(x) x+9 X lim f(x), f(x) = 27 -x
1.




lim f(x), f(x) x+9 X
lim f(x), f(x) = 27 -x
Step by Step Solution
There are 3 Steps involved in it
Get step-by-step solutions from verified subject matter experts
