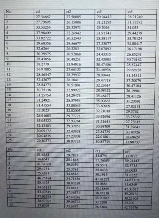
Question: 1. please make the statistical control chart 2. Analyze this graphic and make an explanation about the process look controlled and stabilized? give your assumtion
\begin{tabular}{|l|l|l|l|l|} \hline No. & ct & ct & ct & ct \\ \hline 1 & 27.34667 & 27.50085 & 29.94412 & 28.21249 \\ \hline 2 & 27.79695 & 26.15006 & 31.21295 & 31.33272 \\ \hline 3 & 33.53255 & 29.32971 & 29.7046 & 31.053 \\ \hline 4 & 37.98409 & 32.26942 & 31.91741 & 29.44279 \\ \hline 5 & 33.82722 & 30.32543 & 28.38117 & 33.70124 \\ \hline 6 & 29.68356 & 29.56677 & 27.23077 & 34.00417 \\ \hline 7 & 32.6264 & 26.3203 & 32.07892 & 36.17198 \\ \hline 8 & 30.29575 & 30.52863 & 24.43315 & 26.85241 \\ \hline 9 & 28.43856 & 30.48251 & 32.43083 & 30.76162 \\ \hline 10 & 28.2779 & 33.94916 & 30.47406 & 28.87447 \\ \hline 11 & 26.91885 & 27.66133 & 31.46936 & 29.66928 \\ \hline 12 & 28.46547 & 28.29937 & 28.99441 & 31.14511 \\ \hline 13 & 32.42677 & 26.1041 & 29.47718 & 37.20079 \\ \hline 14 & 28.84273 & 30.51801 & 32.23614 & 30.47104 \\ \hline 15 & 30.75136 & 32.99922 & 28.03452 & 26.19981 \\ \hline 16 & 31.25754 & 24.29473 & 35.46477 & 28.41126 \\ \hline 17 & 31.24921 & 28.57954 & 35.00865 & 31.23591 \\ \hline 18 & 31.41554 & 35.80049 & 33.60909 & 27.82131 \\ \hline 19 & 32.2023 & 32.02005 & 32.71018 & 29.3762 \\ \hline 20 & 26.91603 & 29.77775 & 33.92696 & 33.78366 \\ \hline 21 & 35.05322 & 32.93284 & 31.51641 & 27.73615 \\ \hline 22 & 32.12483 & 29.32853 & 30.99709 & 31.39641 \\ \hline 23 & 30.09172 & 32.43938 & 27.84725 & 30.70726 \\ \hline 24 & 30.04835 & 27.23709 & 22.01801 & 28.69624 \\ \hline 25 & 29.30273 & 30.83735 & 30.82735 & 31.90733 \\ \hline \end{tabular} \begin{tabular}{|l|l|l|l|l|} \hline No. & ct & ct & ct. \\ \hline 1 & 31.6583 & 29.7833 & 31.8791 & 33.9125 \\ \hline 2 & 34.4643 & 25.1848 & 37.76689 & 39.21143 \\ \hline 3 & 41.34268 & 39.5459 & 29.5571 & 32.5735 \\ \hline 4 & 29.4731 & 25.3784 & 25.0438 & 24.0035 \\ \hline 5 & 25.4671 & 34.8516 & 30.1915 & 31.6222 \\ \hline 6 & 46.25184 & 34.71356 & 41.41277 & 44.63319 \\ \hline 7 & 35.4475 & 38.83269 & 330386 & 31.6349 \\ \hline 8 & 34.55143 & 33.8633 & 35.18869 & 4231515 \\ \hline 9 & 43.43549 & 37.36371 & 38.85718 & 39.25132 \\ \hline 10 & 37.05298 & 42.47056 & 35.90282 & 38.21905 \\ \hline 11 & 38.57292 & 39.06772 & 32.2209 & 33.202 \\ \hline 12 & 27.0305 & 33.6397 & 26.6306 & 42.79176 \\ \hline \end{tabular} \begin{tabular}{|l|l|l|l|l|} \hline No. & ct & ct & ct & ct \\ \hline 1 & 27.34667 & 27.50085 & 29.94412 & 28.21249 \\ \hline 2 & 27.79695 & 26.15006 & 31.21295 & 31.33272 \\ \hline 3 & 33.53255 & 29.32971 & 29.7046 & 31.053 \\ \hline 4 & 37.98409 & 32.26942 & 31.91741 & 29.44279 \\ \hline 5 & 33.82722 & 30.32543 & 28.38117 & 33.70124 \\ \hline 6 & 29.68356 & 29.56677 & 27.23077 & 34.00417 \\ \hline 7 & 32.6264 & 26.3203 & 32.07892 & 36.17198 \\ \hline 8 & 30.29575 & 30.52863 & 24.43315 & 26.85241 \\ \hline 9 & 28.43856 & 30.48251 & 32.43083 & 30.76162 \\ \hline 10 & 28.2779 & 33.94916 & 30.47406 & 28.87447 \\ \hline 11 & 26.91885 & 27.66133 & 31.46936 & 29.66928 \\ \hline 12 & 28.46547 & 28.29937 & 28.99441 & 31.14511 \\ \hline 13 & 32.42677 & 26.1041 & 29.47718 & 37.20079 \\ \hline 14 & 28.84273 & 30.51801 & 32.23614 & 30.47104 \\ \hline 15 & 30.75136 & 32.99922 & 28.03452 & 26.19981 \\ \hline 16 & 31.25754 & 24.29473 & 35.46477 & 28.41126 \\ \hline 17 & 31.24921 & 28.57954 & 35.00865 & 31.23591 \\ \hline 18 & 31.41554 & 35.80049 & 33.60909 & 27.82131 \\ \hline 19 & 32.2023 & 32.02005 & 32.71018 & 29.3762 \\ \hline 20 & 26.91603 & 29.77775 & 33.92696 & 33.78366 \\ \hline 21 & 35.05322 & 32.93284 & 31.51641 & 27.73615 \\ \hline 22 & 32.12483 & 29.32853 & 30.99709 & 31.39641 \\ \hline 23 & 30.09172 & 32.43938 & 27.84725 & 30.70726 \\ \hline 24 & 30.04835 & 27.23709 & 22.01801 & 28.69624 \\ \hline 25 & 29.30273 & 30.83735 & 30.82735 & 31.90733 \\ \hline \end{tabular} \begin{tabular}{|l|l|l|l|l|} \hline No. & ct & ct & ct. \\ \hline 1 & 31.6583 & 29.7833 & 31.8791 & 33.9125 \\ \hline 2 & 34.4643 & 25.1848 & 37.76689 & 39.21143 \\ \hline 3 & 41.34268 & 39.5459 & 29.5571 & 32.5735 \\ \hline 4 & 29.4731 & 25.3784 & 25.0438 & 24.0035 \\ \hline 5 & 25.4671 & 34.8516 & 30.1915 & 31.6222 \\ \hline 6 & 46.25184 & 34.71356 & 41.41277 & 44.63319 \\ \hline 7 & 35.4475 & 38.83269 & 330386 & 31.6349 \\ \hline 8 & 34.55143 & 33.8633 & 35.18869 & 4231515 \\ \hline 9 & 43.43549 & 37.36371 & 38.85718 & 39.25132 \\ \hline 10 & 37.05298 & 42.47056 & 35.90282 & 38.21905 \\ \hline 11 & 38.57292 & 39.06772 & 32.2209 & 33.202 \\ \hline 12 & 27.0305 & 33.6397 & 26.6306 & 42.79176 \\ \hline \end{tabular}
Step by Step Solution
There are 3 Steps involved in it
Get step-by-step solutions from verified subject matter experts
