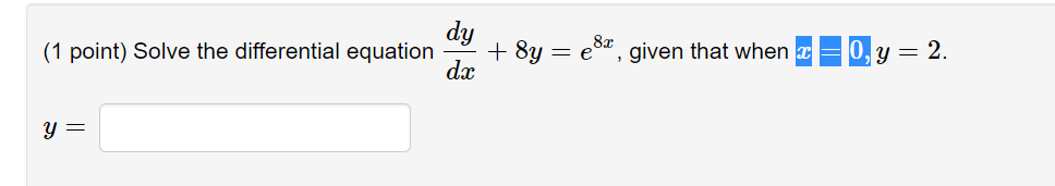
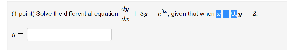
Question: (1 point) Solve the differential equation dy + 8y = es, given that when EC 0, y = 2. dx y =


(1 point) Solve the differential equation dy + 8y = es, given that when EC 0, y = 2. dx y =
Step by Step Solution
There are 3 Steps involved in it
Get step-by-step solutions from verified subject matter experts
