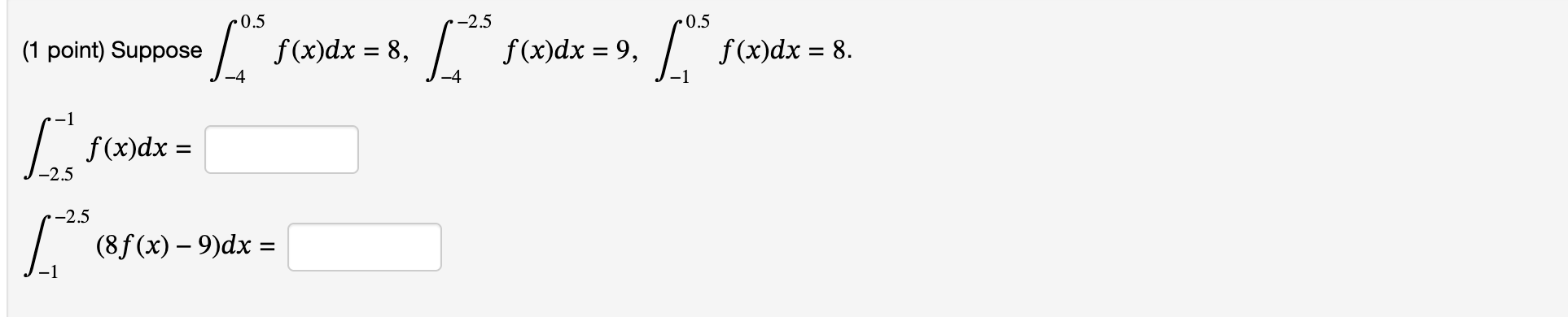
Question: ( 1 point ) Suppose - 4 0 . 5 f ( x ) d x = 8 , - 4 - 2 . 5
point Suppose
Step by Step Solution
There are 3 Steps involved in it
1 Expert Approved Answer
Step: 1 Unlock
Question Has Been Solved by an Expert!
Get step-by-step solutions from verified subject matter experts
Step: 2 Unlock
Step: 3 Unlock
