Question: (1 point) The following table gives the the approximate amount of emissions, E, of nitrogen oxides in millions of metric tons per year in the




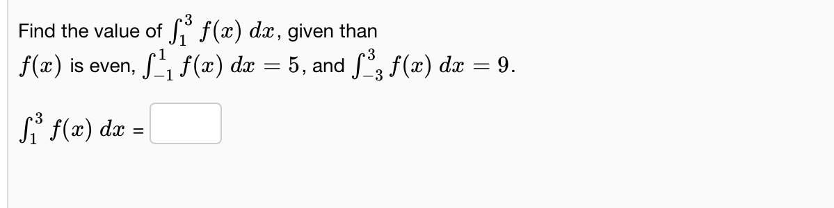
(1 point) The following table gives the the approximate amount of emissions, E, of nitrogen oxides in millions of metric tons per year in the US. Let t be the number of years since 1940 and E = f(t). t 1940 1950 1960 1970 1980 1990 E 7.1 9.5 12.9 18.4 20.6 19.4 (a) Using left endpoints, estimate the integral: f (t) dt ~ (b) Using right endpoints, estimate the integral: 50 f(t) dt ~ Be sure that you know what the units of your answer are, and what its meaning is! (Original data from the Statistical Abstract of the US, 1992) Note: You can earn partial credit on this problem.Find the value of , f(x ) dac, given than f(x) is even, S_ f(x) da = 5, and , f(x) dac = 9. Si f(x) dac =
Step by Step Solution
There are 3 Steps involved in it
Get step-by-step solutions from verified subject matter experts
