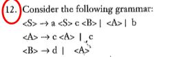
Question: 1. Problem 10, Chapter 3 (Sebesta) 2. Problem 12, Chapter 3 (Sebesta) Questions 3, 4 and 5 are based on following Grammar: begin end l





1. Problem 10, Chapter 3 (Sebesta) 2. Problem 12, Chapter 3 (Sebesta) Questions 3, 4 and 5 are based on following Grammar:
Step by Step Solution
There are 3 Steps involved in it
Get step-by-step solutions from verified subject matter experts
