Question: 1.- Sea S = { 2 ,3,4} R1= ((x, y) ES' / y sx } R2= [(x, y) ES2/y = x2] R3= [(x, y) E

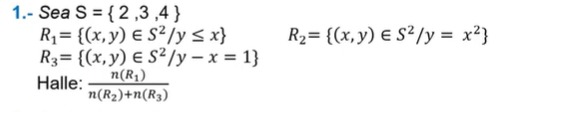
1.- Sea S = { 2 ,3,4} R1= ((x, y) ES' / y sx } R2= [(x, y) ES2/y = x2] R3= [(x, y) E S'/ y - x = 1} Halle: n(R1) n(R2)+n(R3)
Step by Step Solution
There are 3 Steps involved in it
1 Expert Approved Answer
Step: 1 Unlock
Question Has Been Solved by an Expert!
Get step-by-step solutions from verified subject matter experts
Step: 2 Unlock
Step: 3 Unlock
