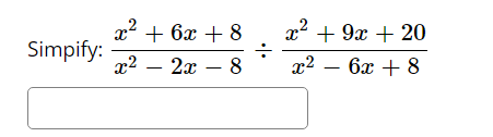
Question: 1) Simplify the expression 1 + 2 c -2 1 - 2 c - 2 and give your answer in the form of f(c) g(c)
1)











Step by Step Solution
There are 3 Steps involved in it
1 Expert Approved Answer
Step: 1 Unlock
Question Has Been Solved by an Expert!
Get step-by-step solutions from verified subject matter experts
Step: 2 Unlock
Step: 3 Unlock
