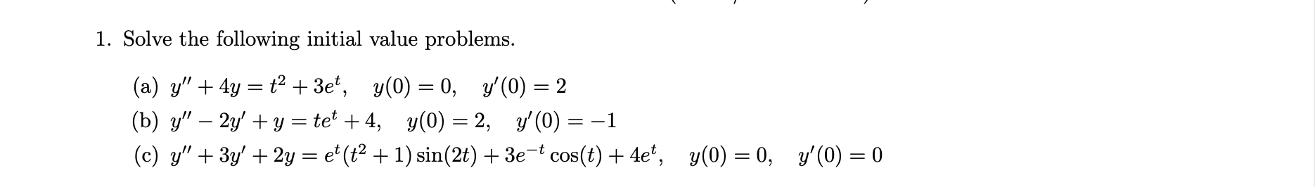
Question: 1. Solve the following initial value problems. (a) y + 4y = 12 + 3et, y(0) =0, y'(0) =2 (b) y - 2y' ty =

Step by Step Solution
There are 3 Steps involved in it
1 Expert Approved Answer
Step: 1 Unlock
Question Has Been Solved by an Expert!
Get step-by-step solutions from verified subject matter experts
Step: 2 Unlock
Step: 3 Unlock
