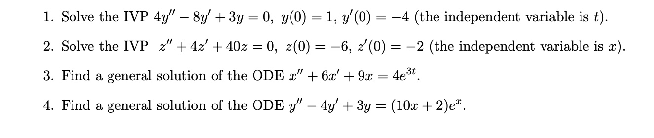
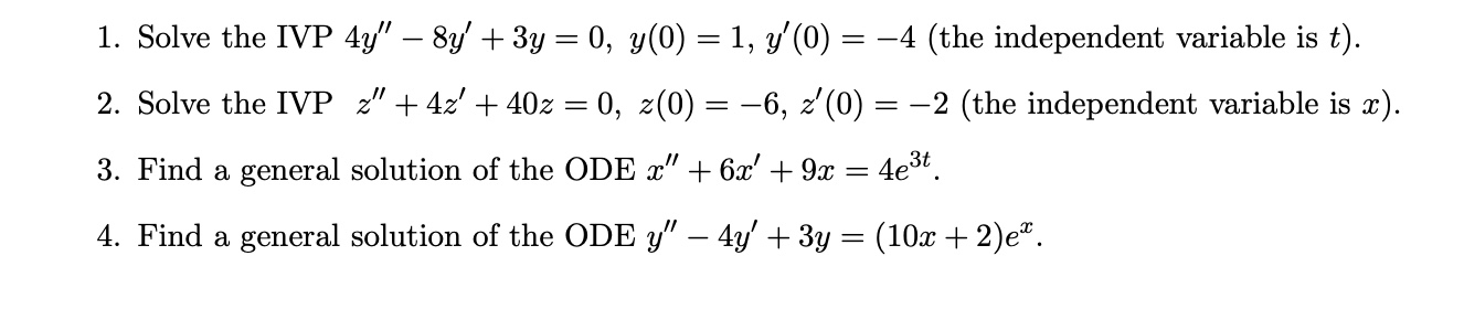
Question: 1. Solve the WP 43; 83f + 33: = 0, y(0) = 1, y'(0) = 4 (the independent variable is t). 2. Solve the WP


1. Solve the WP 43;\" 83f + 33: = 0, y(0) = 1, y'(0) = 4 (the independent variable is t). 2. Solve the WP z\" + 42' + 402 = 0, 2(0) = 6, 2"(0) = 2 (the independent variable is as). 3. Find a general solution of the ODE x\" + 692' + 99: = 463t. 4. Find a general solution of the ODE y\" 4y' + 3y = (10:12 + 2)e$
Step by Step Solution
There are 3 Steps involved in it
Get step-by-step solutions from verified subject matter experts
