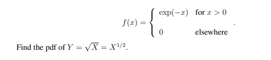
Question: 1. Suppose that a random variable X has probability density function (pdf) ff
1. Suppose that a random variable X has probability density function (pdf)


\f\f
Step by Step Solution
There are 3 Steps involved in it
1 Expert Approved Answer
Step: 1 Unlock
Question Has Been Solved by an Expert!
Get step-by-step solutions from verified subject matter experts
Step: 2 Unlock
Step: 3 Unlock
