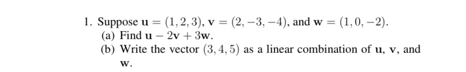
Question: 1. Suppose u = (1, 2, 3), v = (2, -3, -4), and w = (1, 0, -2). (a) Find u - 2v + 3w.

Step by Step Solution
There are 3 Steps involved in it
1 Expert Approved Answer
Step: 1 Unlock
Question Has Been Solved by an Expert!
Get step-by-step solutions from verified subject matter experts
Step: 2 Unlock
Step: 3 Unlock
