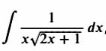
Question: 1. -to calculate f (x) =1x+21






1. -to calculate











f (x) =1x+21
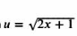
Step by Step Solution
There are 3 Steps involved in it
Get step-by-step solutions from verified subject matter experts






1. -to calculate











f (x) =1x+21
There are 3 Steps involved in it
Get step-by-step solutions from verified subject matter experts