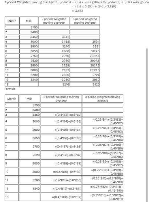
Question: 1- what moving average or exponential smoothing model would you recommend to forecast demand? clearly show your results using EXCEL and explain your conclusions. 2-
1- what moving average or exponential smoothing model would you recommend to forecast demand? clearly show your results using EXCEL and explain your conclusions.
2- what might the economic impact be of over or under forecasting here for this perishable commodity?

Step by Step Solution
There are 3 Steps involved in it
1 Expert Approved Answer
Step: 1 Unlock
Question Has Been Solved by an Expert!
Get step-by-step solutions from verified subject matter experts
Step: 2 Unlock
Step: 3 Unlock
