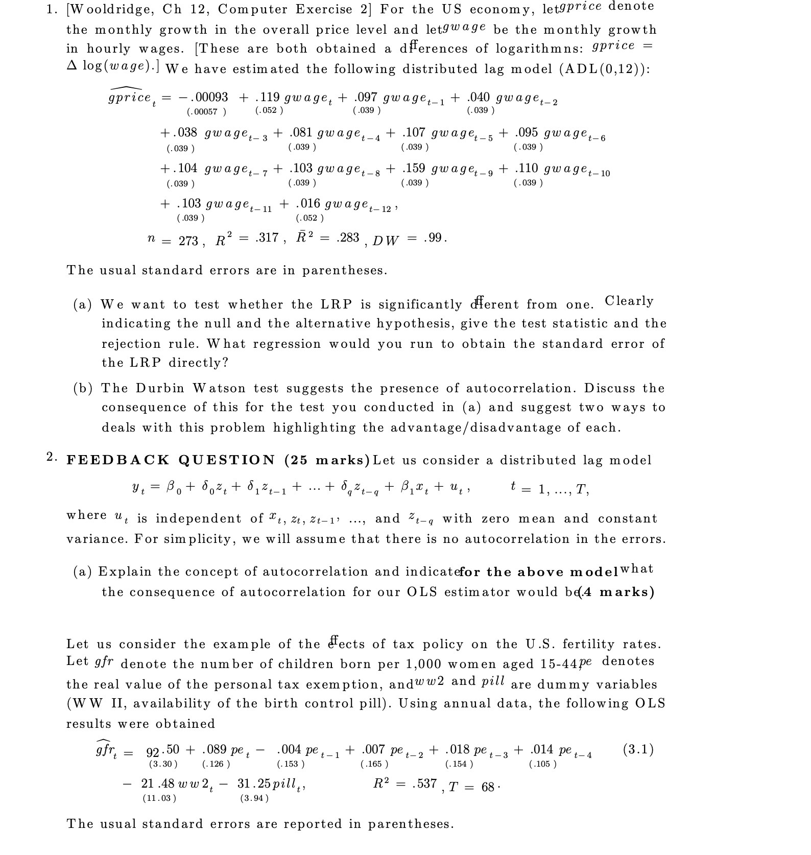
Question: 1. [Wooldridge, Ch 12, Computer Exercise 2] For the US economy, letgprice denote the monthly growth in the overall price level and letgwage be the
![1. [Wooldridge, Ch 12, Computer Exercise 2] For the US economy,](https://s3.amazonaws.com/si.experts.images/answers/2024/06/6677c8c74e520_2156677c8c7298a1.jpg)

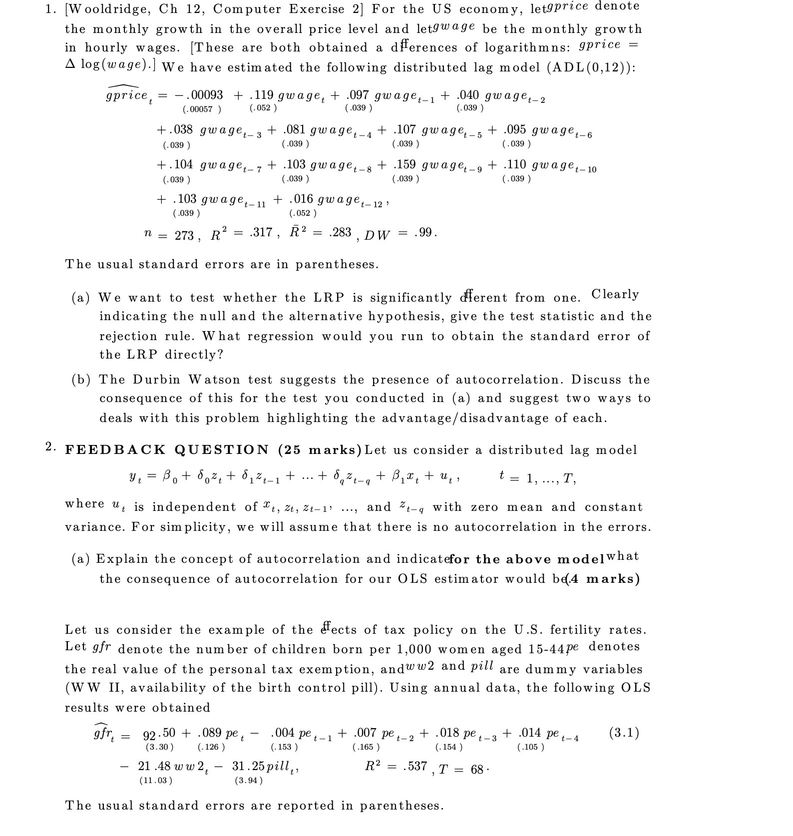
1. [Wooldridge, Ch 12, Computer Exercise 2] For the US economy, letgprice denote the monthly growth in the overall price level and letgwage be the monthly growth in hourly wages. [These are both obtained a diferences of logarithmns: gprice = A log(wage).] We have estimated the following distributed lag model (ADL (0, 12)): gprice = -. 00093 + .119 gwage, + .097 gwaget_1 + .040 gwaget-2 (. 00057 ) (. 052 ) (.039 ) (.039 ) +.038 gwage_3 + .081 gwaget_ + .107 gwaget_5 + .095 gwaget-6 (.039 ) (.039 ) (.039 ) (.039 ) +. 104 gwaget_7 + .103 gwaget_ + .159 gwaget_, + .110 gwaget-10 (. 039 (.039 ) (.039 ) (.039 ) + . 103 gwage _1 + . 016 gwaget-12, (.039 ) (. 052 ) n = 273 , R2 = 317 , R2 = .283. DW = .99. The usual standard errors are in parentheses. (a) We want to test whether the LRP is significantly dierent from one. Clearly indicating the null and the alternative hypothesis, give the test statistic and the rejection rule. What regression would you run to obtain the standard error of the LRP directly? (b) The Durbin Watson test suggests the presence of autocorrelation. Discuss the consequence of this for the test you conducted in (a) and suggest two ways to deals with this problem highlighting the advantage/ disadvantage of each. 2. FEEDBACK QUESTION (25 marks) Let us consider a distributed lag model y t = Botox + + 8 12 + - 1 + ... + 8 ,2 +- q + B,* + + 2., t = 1, ..., T, where u. is independent of "t, Zt, Zt-1' ..., and 2t-q with zero mean and constant variance. For simplicity, we will assume that there is no autocorrelation in the errors. (a) Explain the concept of autocorrelation and indicatefor the above model what the consequence of autocorrelation for our OLS estimator would be(4 marks) Let us consider the example of the elects of tax policy on the U.S. fertility rates. Let gfr denote the number of children born per 1,000 women aged 15-44pe denotes the real value of the personal tax exemption, andww2 and pull are dummy variables (WW II, availability of the birth control pill). Using annual data, the following OLS results were obtained gfr = 92 . 50 + . 089 pet - .004 pe , _ + .007 pet_2 + . 018 pet -3 + .014 pet-4 (3.1) (3.30 ) (. 126 ) (. 153 (.165 ) (.154 ) (.105 ) 21 .48 ww 2 - 31 .25 pill, R2 = .537, T = 68 . (11 .03 ) (3.94 ) The usual standard errors are reported in parentheses
Step by Step Solution
There are 3 Steps involved in it
Get step-by-step solutions from verified subject matter experts
