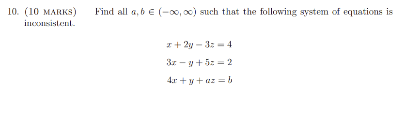
Question: 10. [10 MARKS) Find all a, b E (00, on] such that the following system of equations is inconsistent. m+2y32=4 31y+52=2 43+y+az=b
![10. [10 MARKS) Find all a, b E (00, on] such that](https://dsd5zvtm8ll6.cloudfront.net/si.experts.images/questions/2025/02/67a5a3427887a_48267a5a342519db.jpg)
Step by Step Solution
There are 3 Steps involved in it
1 Expert Approved Answer
Step: 1 Unlock
Question Has Been Solved by an Expert!
Get step-by-step solutions from verified subject matter experts
Step: 2 Unlock
Step: 3 Unlock
