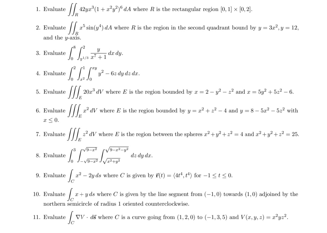
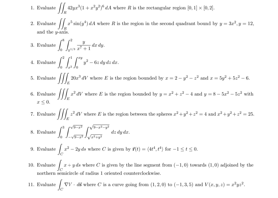
Question: 10. 11. . Evaluate ff 42ya:[1 + ..r:'_g2)6 dA where R is the rectangular region [0,1] x [0. 2]. R Evaluate ff 3:5 sin[y) (M

![is the rectangular region [0,1] x [0. 2]. R Evaluate ff 3:5](https://s3.amazonaws.com/si.experts.images/answers/2024/06/6664664771ea2_81566646647529a5.jpg)
10. 11. . Evaluate ff 42ya:\"[1 + .\".r:"\"'_g2)6 dA where R is the rectangular region [0,1] x [0. 2]. R Evaluate ff 3:5 sin[y") (M where R is the region in the second quadrant bound by y 2 33:2, 3,: = 12, and the yaxis. a 2 3,: Evaluate / f 7 (3: dy. (l yll J? + 1 2 l I}; ' Evaluate / f f y2 6z dydz dx. (1 .12 [J Evaluate ff 20:1:3dl/ where E is the region bounded by :e = 2 y2 22 and :r = 592 + 525'2 6. Evaluate [1/3 :1: 261V where E is the region bounded by y = 3:2 + Z2 4 and y = 8 5z2 with :1:
Step by Step Solution
There are 3 Steps involved in it
1 Expert Approved Answer
Step: 1 Unlock
Question Has Been Solved by an Expert!
Get step-by-step solutions from verified subject matter experts
Step: 2 Unlock
Step: 3 Unlock
