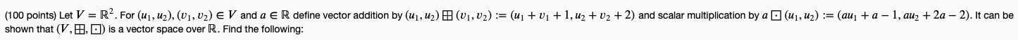
Question: (100 points) Let V = R2. For (u1, u2), (v1, U2) E V and a E R define vector addition by (uj, u2) (v1, U2)


(100 points) Let V = R2. For (u1, u2), (v1, U2) E V and a E R define vector addition by (uj, u2) (v1, U2) := (uj + Uj + 1, uz + U2 + 2) and scalar multiplication by a [ (u1, u2) := (au + a - 1, au2 + 2a - 2). It can be shown that (V, #, [) is a vector space over R. Find the following:the sum: (9,9) : (-7,3) =( the scalar multiple: -50 (9,9) =( the zero vector: the additive inverse of (x, y): B(x, y) =(
Step by Step Solution
There are 3 Steps involved in it
Get step-by-step solutions from verified subject matter experts
