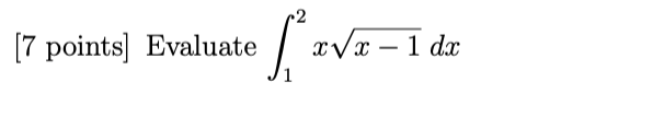
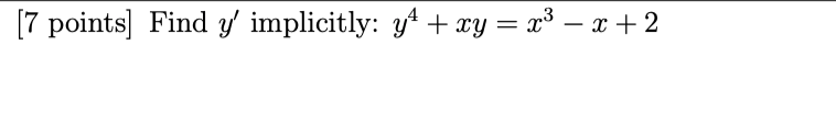
Question: 11 & 12 please write or type clearly 2 [7 points Evaluate *vx- 1 dx 1[7 points] Find y' implicitly: y* +xy = 2 -
11 & 12
please write or type clearly

![1 dx 1[7 points] Find y' implicitly: y* +xy = 2 -](https://s3.amazonaws.com/si.experts.images/answers/2024/07/6688f1fc36d3e_8766688f1fc20210.jpg)
2 [7 points Evaluate *vx- 1 dx 1[7 points] Find y' implicitly: y* +xy = 2 - x+2
Step by Step Solution
There are 3 Steps involved in it
Get step-by-step solutions from verified subject matter experts
