Question: 11) [16 Marks, 4 for each part] Suppose that an 2 0 and that lim an = L. We will show that n van =
![11) [16 Marks, 4 for each part] Suppose that an 2](https://s3.amazonaws.com/si.experts.images/answers/2024/06/6664ac235687a_6996664ac2334109.jpg)

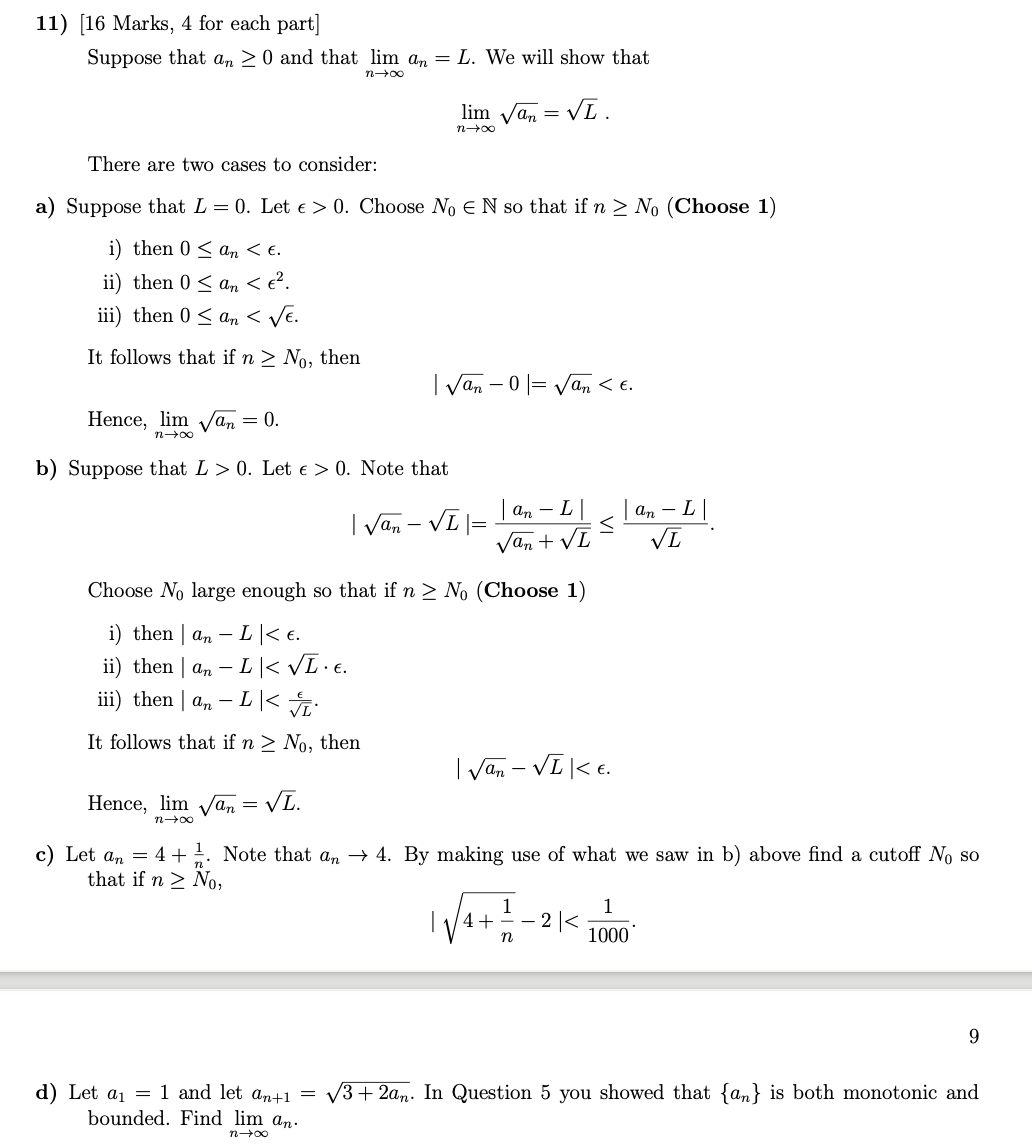
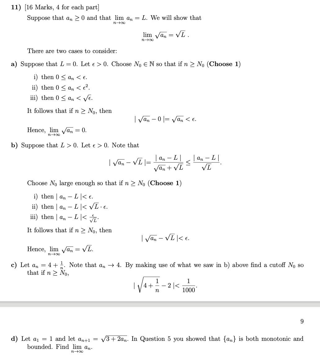
11) [16 Marks, 4 for each part] Suppose that an 2 0 and that lim an = L. We will show that n van = VL . There are two cases to consider: a) Suppose that L = 0. Let e > 0. Choose No E N so that if n 2 No (Choose 1) i) then 0 0. Let e > 0. Note that I van - VI = Ian - L| | an - L| Van + VL VL Choose No large enough so that if n 2 No (Choose 1) i) then | an - L KE. ii) then | an - L K VL . E. iii) then | an - L K . It follows that if n 2 No, then I Van - VIKE. Hence, lim Van = VL. c) Let an = 4 + . Note that an -> 4. By making use of what we saw in b) above find a cutoff No so that if n 2 No, / 4+ : - 2/: n 1000 9 d) Let a1 = 1 and let anti = v3 + 2an. In Question 5 you showed that {an} is both monotonic and bounded. Find lim an
Step by Step Solution
There are 3 Steps involved in it
Get step-by-step solutions from verified subject matter experts
