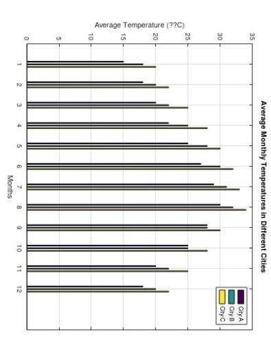
Question: 11. Please provide the Octave code for the given plot. Please refrain from using any other language for code and please don't waste my question.

11. Please provide the Octave code for the given plot. Please refrain from using any other language for code and please don't waste my question. Thank you
Average Temperature (??C)
Step by Step Solution
There are 3 Steps involved in it
Get step-by-step solutions from verified subject matter experts
