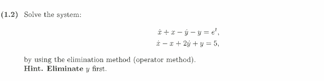
Question: (1.2) Solve the system: itz-y-y=e, x - x + 2 + y =5. by using the elimination method (operator method). Hint. Eliminate y first

Step by Step Solution
There are 3 Steps involved in it
1 Expert Approved Answer
Step: 1 Unlock
Question Has Been Solved by an Expert!
Get step-by-step solutions from verified subject matter experts
Step: 2 Unlock
Step: 3 Unlock
