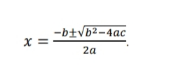
Question: 1-3. Quadratic Equation; Solve using factoring method and Completing the square method in each number 1, 2, and 3. 2 solutions in 1 number (factoring
1-3. Quadratic Equation; Solve using factoring method and Completing the square method in each number 1, 2, and 3. 2 solutions in 1 number (factoring method and Completing the square method)


Step by Step Solution
There are 3 Steps involved in it
Get step-by-step solutions from verified subject matter experts
