Question: 13.1.- Set-point control Verify (i.e., show the development or derivation of) the three equations below T = (A - LC)x I = (A - BK)x

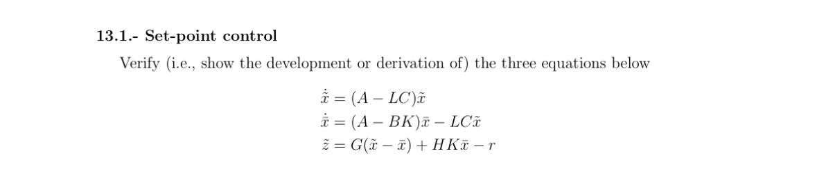
13.1.- Set-point control Verify (i.e., show the development or derivation of) the three equations below T = (A - LC)x I = (A - BK)x - LCa 2 = G(x - X) + HKx-r
Step by Step Solution
There are 3 Steps involved in it
Get step-by-step solutions from verified subject matter experts
