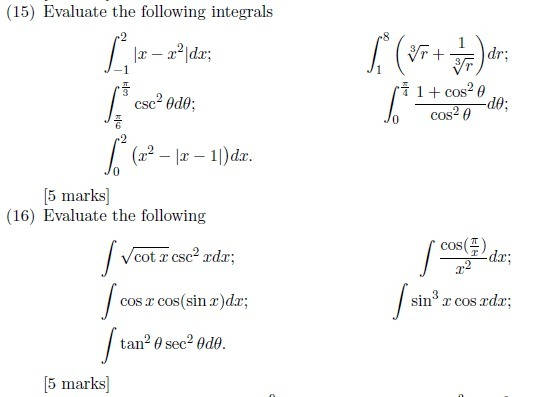
Question: (15) Evaluate the following integrals .2 (x - x'dx; 3/ dr; i 1 + cos2 9 csc- Ode; do; 0 cos- 9 (x- - |x


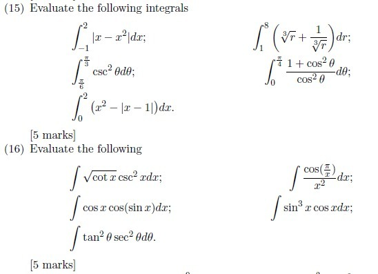
(15) Evaluate the following integrals .2 (x - x'dx; 3/ dr; i 1 + cos2 9 csc- Ode; do; 0 cos- 9 (x- - |x - 1)dx. [5 marks] (16) Evaluate the following COS( - Vcot resc' rdr; cos r cos (sin x)do; sin* r cos rdr; tan2 0 sec2 0de. [5 marks]
Step by Step Solution
There are 3 Steps involved in it
Get step-by-step solutions from verified subject matter experts
