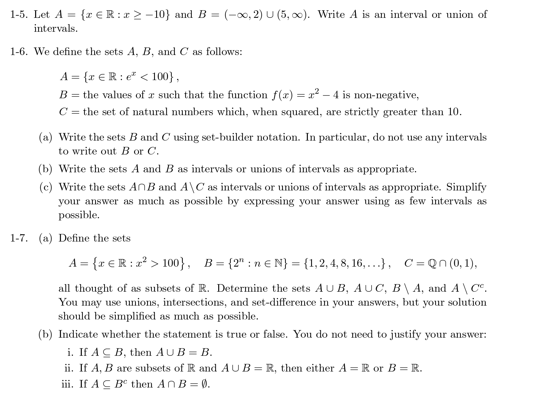
Question: 15. Let A = {33 E R : x Z 10} and B = (00, 2) U (5,00). Write A is an interval or union


15. Let A = {33 E R : x Z 10} and B = (00, 2) U (5,00). Write A is an interval or union of intervals. 16. We dene the sets A, B, and C as follows: A={xER:emumL B={T:neN}=AJu}, C=QmJL all thought of as subsets of R. Determine the sets A U B, A U C, B \\ A, and A \\ CC. You may use unions, intersections, and setdifference in your answers, but your solution should be simplied as much as possible. (b) Indicate whether the statement is true or false. You do not need to justify your answer: LHAQBJMHAUB=B ii. If A, B are subsets of R and A U B = R, then either A = R or B = R. iii. IfAQ BC thenAB=lD
Step by Step Solution
There are 3 Steps involved in it
Get step-by-step solutions from verified subject matter experts
