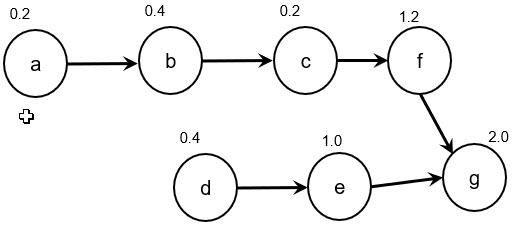
Question: 15. The following precedence network is used for assembling a product. You have been asked to achieve an output of 240 units per eight-hour day.
15. The following precedence network is used for assembling a product. You have been asked to achieve an output of 240 units per eight-hour day. All times in this network are in minutes. Balance the line using the following rule: assign tasks to workstations on the basis of most following tasks (Rule 1). Use greatest positional weight (Rule 2) as a tiebreaker. What is the utilization (%) of the worker in the workstation 1?

Select one:
a. 40
b. 50
c. 100
d. 30
e. 60
f. 67.5
g. None of the provided options
0.2 0.4 0.2 1.2 a 0.4 1.0 2.0 d gStep by Step Solution
There are 3 Steps involved in it
Get step-by-step solutions from verified subject matter experts
