Question: 18. Let f be the function defined by f(x) = 3/x. What is the approximation for f (10) found by using the line tangent to







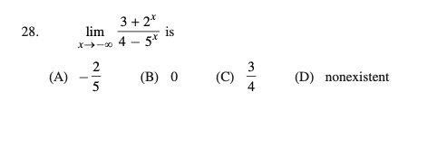
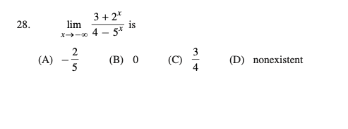
18. Let f be the function defined by f(x) = 3/x. What is the approximation for f (10) found by using the line tangent to the graph of f at the point (8, 2) ? 11 25 13 (A) 6 (B) 12 (C) 6 (D)25. Which of the following is a solution to the differential equation y" - 4y = 0 ? (A) y= 2x (B) y = 2e* (C) y = sin (2x) (D) y = cos (2x)27. The positive variables p and c change with respect to time t. The relationship between p and c is given by the equation p = (20 - c) . At the instant when dp = 41 and c = 15, what is the value of - dc dt - ? dt 82 (A) 2V5 (B) 3V5 82 V5 75 3 (C) (D) 2 153+ 20 28. lim 4- 5X is (A) - (B) 0 (C) (D) nonexistent
Step by Step Solution
There are 3 Steps involved in it
Get step-by-step solutions from verified subject matter experts
