Question: 1.Consider an election contested by two parties. Each is trying to win votes away from the other by advertising. Suppose the vote share of a
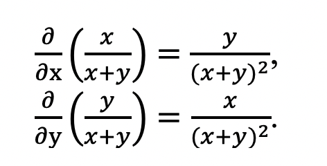
1.Consider an election contested by two parties. Each is trying to win votes away from the other by advertising. Suppose the vote share of a party equals its share of the total campaign advertising spend. Call the parties L and R; when L spends x million on advertising and R spends y million, L will get a share of the votes, and R will get. Party L's payoff is measured by its vote share minus its advertising expenditure, . Similarly, party R's payoff is.
a)Define the best reply functions of the parties.
b)Find a Nash equilibrium of this game.
Please note that:

X y Ox = xty (xty) 2 y X ay xty ( xty) 2
Step by Step Solution
There are 3 Steps involved in it
Get step-by-step solutions from verified subject matter experts
