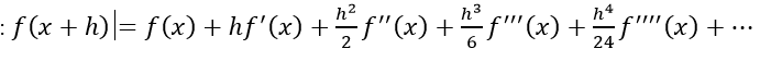
Question: 1.Examining differential approximations. a)Find the first truncation error term and the value of n for the following finite difference approximation for the first derivative: ffff
1.Examining differential approximations.
a)Find the first truncation error term and the value of n for the following finite difference approximation for the first derivative:




\f\f\f\f
Step by Step Solution
There are 3 Steps involved in it
Get step-by-step solutions from verified subject matter experts
