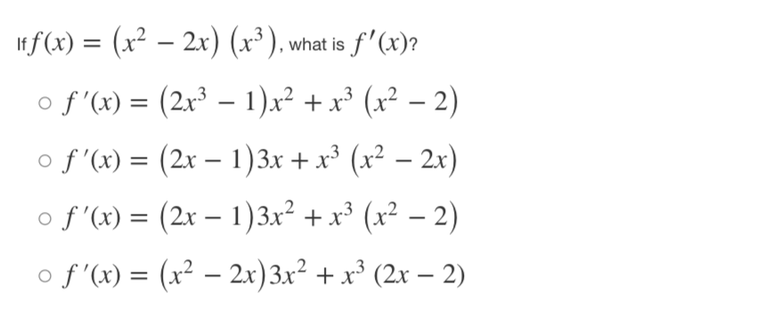
Question: 1f f(x) = (x 2x) (x), what is f'(x)? - f'(x) = (2x 1)x + x (x 2) - - f'(x) = (2x 1)3x+x




















1f f(x) = (x 2x) (x), what is f'(x)? - f'(x) = (2x 1)x + x (x 2) - - f'(x) = (2x 1)3x+x (x - 2x) - f'(x) = (2x 1)3x + x (x - 2) - - f'(x) = (x = 2x) 3x + x (2x 2) -
Step by Step Solution
There are 3 Steps involved in it
Get step-by-step solutions from verified subject matter experts
