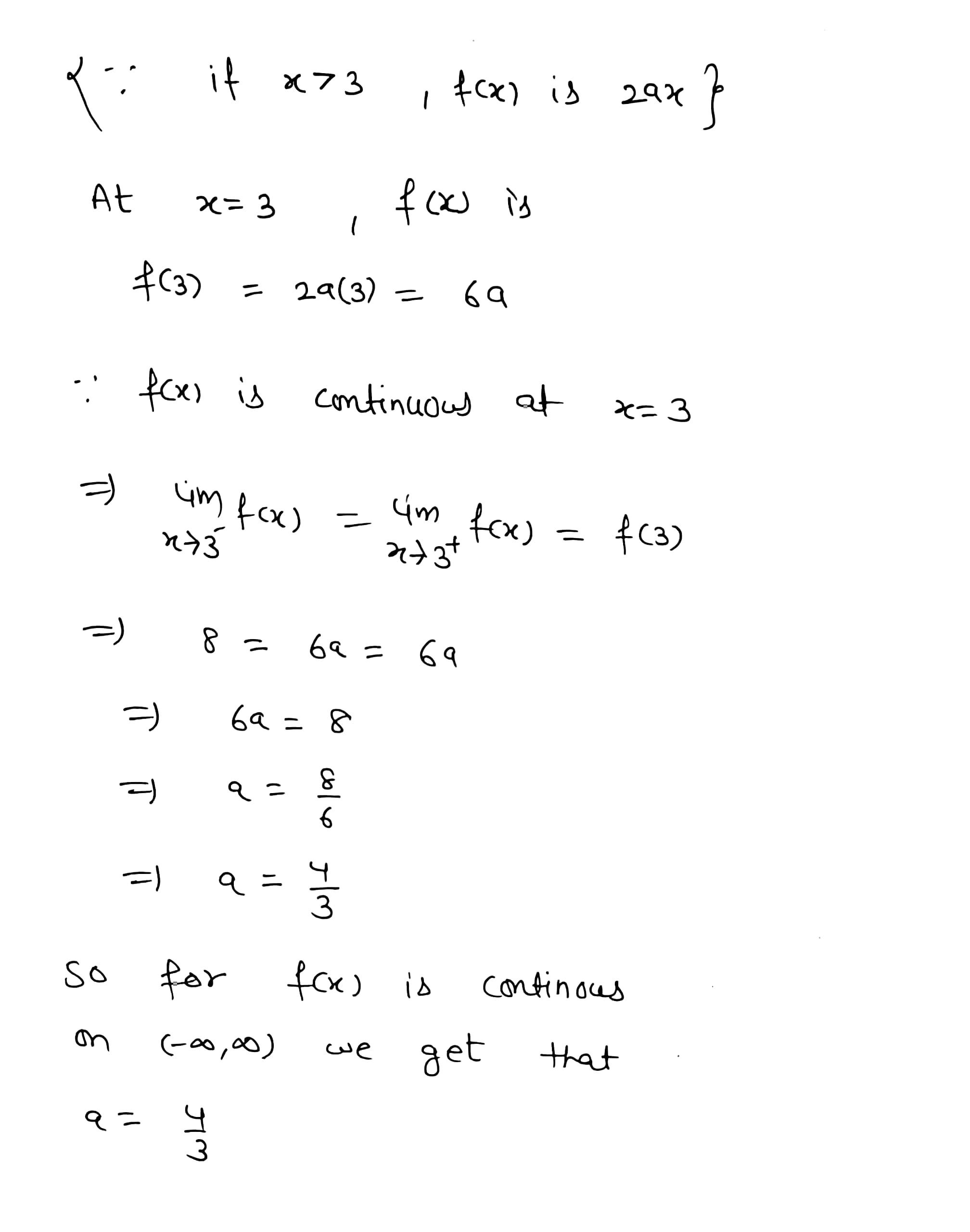
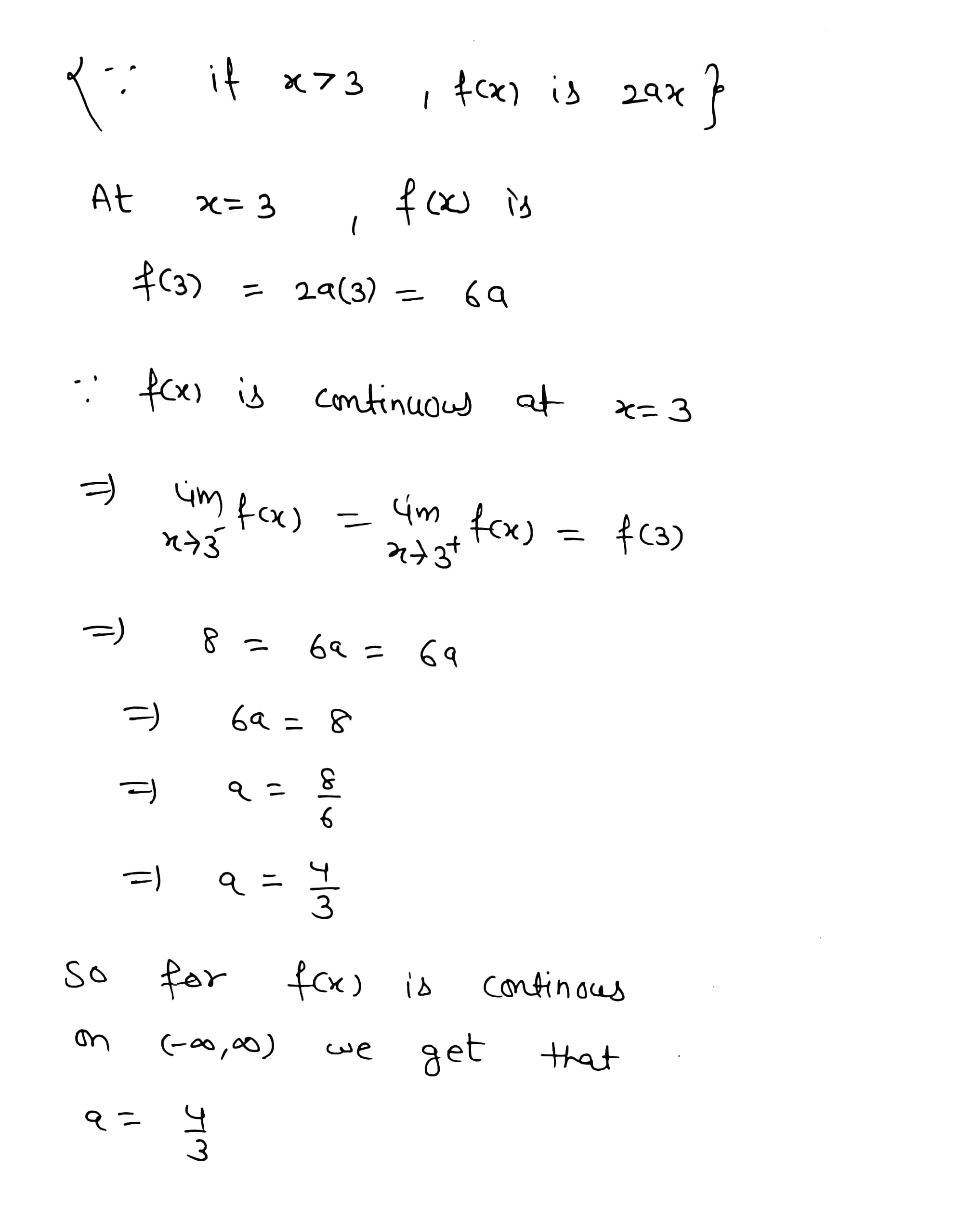
Question: 2 - 1, if x 3 continuous on (-co, co)? Make sure you check the conditions for continuity.The given function is foxs = 2 x-






2 - 1, if x 3 continuous on (-co, co)? Make sure you check the conditions for continuity.The given function is foxs = 2 x- 1 , it x
Step by Step Solution
There are 3 Steps involved in it
Get step-by-step solutions from verified subject matter experts
