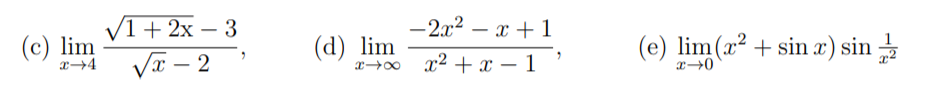
Question: 2 15. Let f(:r)= :4. (a) Find all the vertical and horizontal asymptotes. (b) Is f(:r) continuous at a: = 1'? at :r = 0?




2 15. Let f(:r)= :4. (a) Find all the vertical and horizontal asymptotes. (b) Is f(:r) continuous at a: = 1'? at :r = 0? (b) Find the inverse of f (:r) and determine its domain and range. 16. Find the following limits 2 211: (a) 31$ (1/3: +'11/a: 1), (b) lim 1\" _ $>DG$34$+4l
Step by Step Solution
There are 3 Steps involved in it
1 Expert Approved Answer
Step: 1 Unlock
Question Has Been Solved by an Expert!
Get step-by-step solutions from verified subject matter experts
Step: 2 Unlock
Step: 3 Unlock
