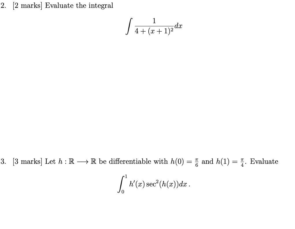
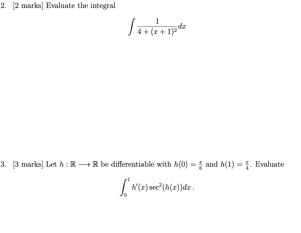
Question: 2. [2 marks] Evaluate the integral 4+ (a+ 1)2 -dx 3. [3 marks] Let h : R -> R be differentiable with h(0) =
![2. [2 marks] Evaluate the integral 4+ (a+ 1)2 -dx 3.](https://s3.amazonaws.com/si.experts.images/answers/2024/06/66650e6685045_85466650e666e641.jpg)
![[3 marks] Let h : R -> R be differentiable with h(0)](https://s3.amazonaws.com/si.experts.images/answers/2024/06/66650e66e2471_85466650e66bea80.jpg)

![.4. [4 marks] Evaluate the integral x2 - 1 (2 + 2)](https://s3.amazonaws.com/si.experts.images/answers/2024/06/66650e6791ace_85566650e6776fee.jpg)
2. [2 marks] Evaluate the integral 4+ (a+ 1)2 -dx 3. [3 marks] Let h : R -> R be differentiable with h(0) = " and h(1) = ". Evaluate h'(x) sec? (h(x) ) dx .4. [4 marks] Evaluate the integral x2 - 1 (2 + 2) 10 dx
Step by Step Solution
There are 3 Steps involved in it
Get step-by-step solutions from verified subject matter experts
