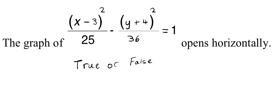
Question: 2 2 (x - 3 ( y + 4 The graph of 25 = 1 36 opens horizontally. True or False


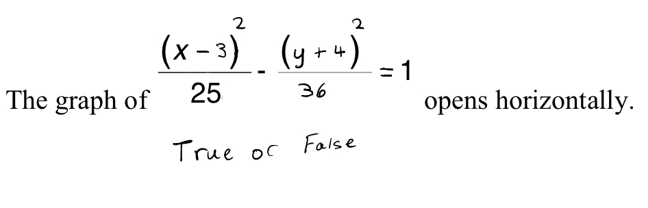
2 2 (x - 3 ( y + 4 The graph of 25 = 1 36 opens horizontally. True or False
Step by Step Solution
There are 3 Steps involved in it
Get step-by-step solutions from verified subject matter experts
