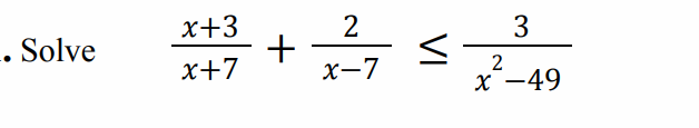
Question: 2 3 1+3 + 1/7 -1119 . Solve x+7 x-7 2 x-49
2 3 1+3 + 1/7 -1119 . Solve x+7 x-7 2 x-49
Step by Step Solution
There are 3 Steps involved in it
Get step-by-step solutions from verified subject matter experts
