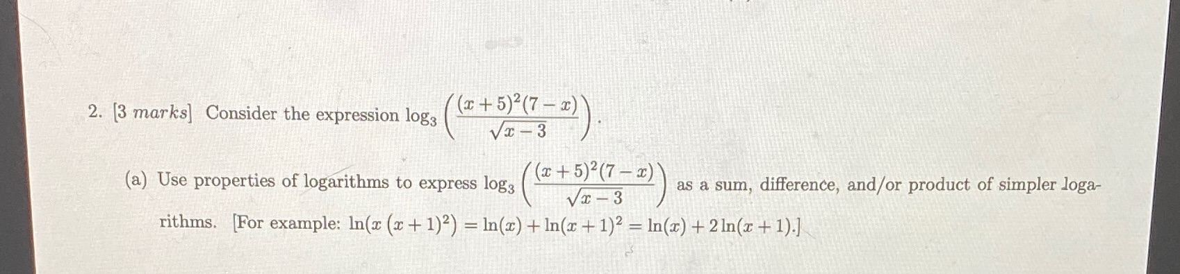
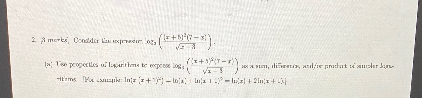
Question: 2. [3 marks] Consider the expression log3 (1 + 5)?(7 - 2) Vx - 3 (a) Use properties of logarithms to express log3 ( +5)2(7
![2. [3 marks] Consider the expression log3 (1 + 5)?(7 -](https://s3.amazonaws.com/si.experts.images/answers/2024/06/666e15aea723d_542666e15ae8927f.jpg)

2. [3 marks] Consider the expression log3 (1 + 5)?(7 - 2) Vx - 3 (a) Use properties of logarithms to express log3 ( +5)2(7 - 2) as a sum, difference, and/or product of simpler loga- Va - 3 rithms. [For example: In(x (x + 1)2) = In(x) + In(x + 1)? = In(x) + 2In(x + 1).]
Step by Step Solution
There are 3 Steps involved in it
Get step-by-step solutions from verified subject matter experts
