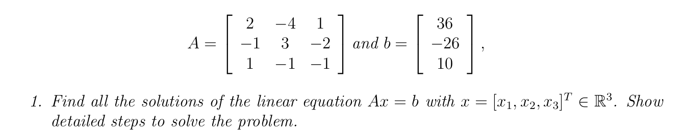
Question: 2 -4 1 36 A = 3 -2 and b : 26 -1 -1 10 1. Find all the solutions of the linear equation Ax

2 -4 1 36 A = 3 -2 and b : 26 -1 -1 10 1. Find all the solutions of the linear equation Ax = b with x = [x1, X2, 23] E R3. Show detailed steps to solve the
Step by Step Solution
There are 3 Steps involved in it
Get step-by-step solutions from verified subject matter experts
