Question: 2. A ball is launched directly upward from ground level with an initial speed of 20 m/s. (Air resistance is negligible.) (a) How long is


2. A ball is launched directly upward from ground level with an initial speed of 20 m/s. (Air resistance is negligible.) (a) How long is the ball in the air? (b) What is the greatest height reached by the ball? (c) How many seconds after launch is the ball 15 m above the release point?
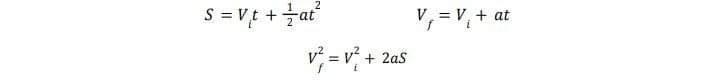
Step by Step Solution
There are 3 Steps involved in it
1 Expert Approved Answer
Step: 1 Unlock
Question Has Been Solved by an Expert!
Get step-by-step solutions from verified subject matter experts
Step: 2 Unlock
Step: 3 Unlock
